D1105-K-E4
- EPA Tier 4
- CARB Tier 4
- EU Stage V
- China NR IV
D1105-K-E4
- EPA Tier 4
- CARB Tier 4
- EU Stage V
- China NR IV
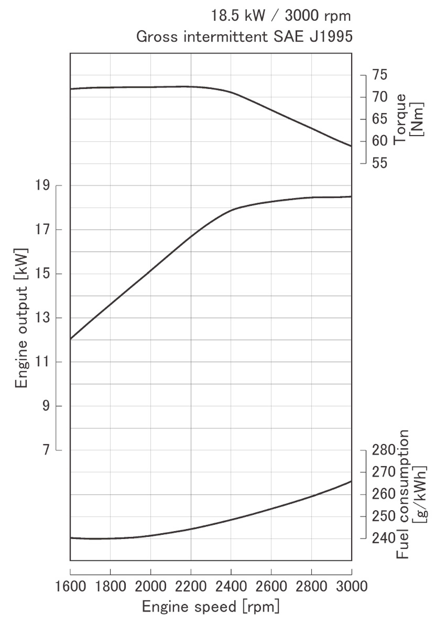
Rated Power
18.5 kW @ 3000 rpm
Performance Curves
Features and Benefits
Zero Visible Smoke *4
Through adoption of the new combustion method TVCR, the D1105-K has been improved to produce clean exhaust gas with no visible black smoke during engine start-up, acceleration, and sudden load. *4: Opacimeter less than 0.8m-1
Drivability
The electronic control allows greater flexibility in setting the performance curve, enabling a broader output flat range in the rated range than with the conventional model. As a result, the rotation fluctuation can be suppressed in response to workload fluctuations, contributing to an improved working environment for the operator.
Low fuel consumption
Fuel efficiency improved by about 5% compared to conventional model. Kubota's unique technology has overcome the obstacles to improving fuel efficiency in this class. In addition, the engine has high output and torque per displacement, combining both fuel efficiency and performance.
Integrated / intelligent control
Intercommunication between the engine's ECU and the vehicle's ECU enables integrated control of the mounted equipment. The D1105-K with electronic control is therefore the optimal engine for equipment that requires advanced control, such as automatic/unmanned driving and hybrid systems. It is well equipped to respond to the growing need for digitalization.
D1105-K allows for an ECU to be directly attached to the engine crankcase, reducing development and design work at OEM. Additionally, the same external dimensions, air intake and exhaust positions, engine mount position, and PTO (power take-off) as the conventional models make it easy to upgrade.
Installation Compatibility
Engine Specifications
| Engine Model | D1105-K-E4 |
|---|---|
| Emission Regulation | EPA/CARB Tier4 + EU Stage V + China Non-Road IV |
| Type | Vertical, water cooled 4-cycle IDI diesel engine |
| Cylinders | 3 |
| Bore and Stroke mm (in) |
78.0 x 78.4 (3.07 x 3.09) |
| Displacement L (cu.in) |
1.123 (68.53) |
| Aspiration | Naturally aspirated |
| Aftertreatment | - |
| Rated Output / Speed*1 kW (HP) / rpm |
18.5 (24.8) / 3000 |
| Maximum Torque / Speed*1 Nm (lb-ft) / rpm |
72.4 (53.4) / 2200 |
| Combustion System | TVCR |
| Fuel System | TVCR |
| Length x Width x Height*2 (Without Aftertreatment Unit) mm (in) |
481 x 385 x 595(19.0 x 15.2 x 23.4) |
| Length x Width x Height*3 (With Aftertreatment Unit) mm (in) |
- |
| Dry Weight kg (lb) |
94 (207) |
Specifications are subject to change without notice.
Dimensions and dry weight are according to Kubota's standard specification.
Dimensions and weight depend on completed specifications.
- *1: SAE J1995 gross intermittent
- *2: Included ECU, excluded cooling fan
Dimensions










