出力レンジ
18.5 kW @ 3000 rpm
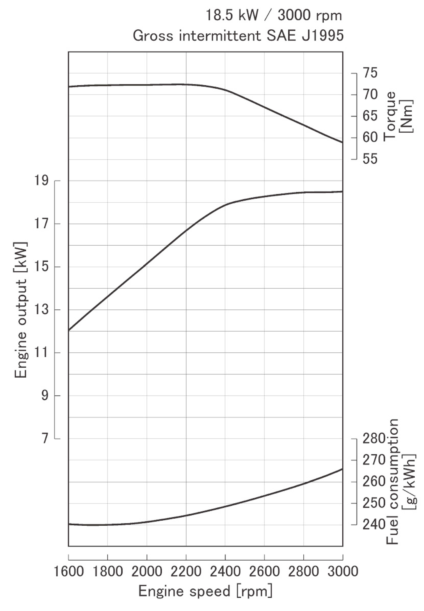
性能曲線
特長
可視スモークゼロ※1
新燃焼方式“TVCR”により、黒煙を見えないレベルまで低減
D1105-Kは、新燃焼方式TVCRの採用により、エンジンの 始動時、加速時、急負荷時において、黒煙が視認できないレ ベルのクリーンな排出ガスとなるよう改善しました。 ※1:オパシメータ0.8m-1未満
低燃費
従来機と比べて燃費を約5%改善
このクラスで燃費性を向上するという高いハードルを、クボタ 独自の技術によりクリアしました。加えて、排気量あたりの出 力・トルクも高く、燃費とパフォーマンスの両輪を兼ね備えたエ ンジンです。
搭載互換性
容易に載せ替えが可能
D1105-Kは、エンジン本体にECUを直接取り付けることがで きます。搭載本機内でのECU及びハーネスの取り付けスペー スの確保が不要で、お客様の開発・設計工数を抑えます。さら に、従来機と同じ外観寸法・給排気位置・エンジンマウント取 り付け位置およびPTO(Power Take Off)を備えているため、 載せ替えが容易です。
高効率
電子制御化により、性能カーブの設定自由度を高められるの
で、従来機よりも定格域での出力フラット幅を広げることがで
きます。それにより、作業負荷変動に対する回転変動を抑制で
き、オペレータの作業環境改善に貢献します。
エンジンECUと本機ECUの相互通信による搭載機との統合
制御が可能です。そのため、電子制御エンジンD1105-Kは、
自動運転・無人運転やハイブリッドといった高度な制御を必要
とする搭載機に最適なエンジンです。これから求められるICT
化のニーズに幅広く対応します。
高効率で安定した作業をサポート
統合制御
エンジン及び搭載車両をコントロールする高度な統合制御が可能
一般仕様
| 機関名称 | D1105-K-E4 |
|---|---|
| 適合排出ガス規制 | EPA/CARB Tier4 + EU Stage V + China Non-Road IV |
| 形式 | Vertical, water cooled 4-cycle IDI diesel engine |
| 気筒数 | 3 |
| 気筒径と行程 mm (in) | 78.0 x 78.4 (3.07 x 3.09) |
| 排気量 L (cu.in) | 1.123 (68.53) |
| 過給方式 | Naturally aspirated |
| 排出ガス後処理装置 | - |
| 定格出力/回転数 *1 kW (HP) / rpm (SAE J1995に基づくグロス値 ) |
18.5 (24.8) / 3000 |
| 最大トルク/回転数 *1Nm (lb-ft) / rpm (SAE J1995に基づくグロス値 ) |
72.4 (53.4) / 2200 |
| 燃焼方式 | TVCR |
| 燃料供給装置 | TVCR |
| 外観寸法 *2mm (in) (冷却ファン・後処理装置を除く値) |
481 x 385 x 595(19.0 x 15.2 x 23.4) |
| 外観寸法 *3mm (in) (冷却ファンを除く・後処理装置 搭載時の値) |
- |
| 乾燥重量 kg (lb) (冷却ファンを除く・後処理装置 付きのエンジンは搭載時の値) |
94 (207) |
Specifications are subject to change without notice.
Dimensions and dry weight are according to Kubota's standard specification.
Dimensions and weight depend on completed specifications.
- *1: SAE J1995 gross intermittent
- *2: Included ECU, excluded cooling fan
寸法









